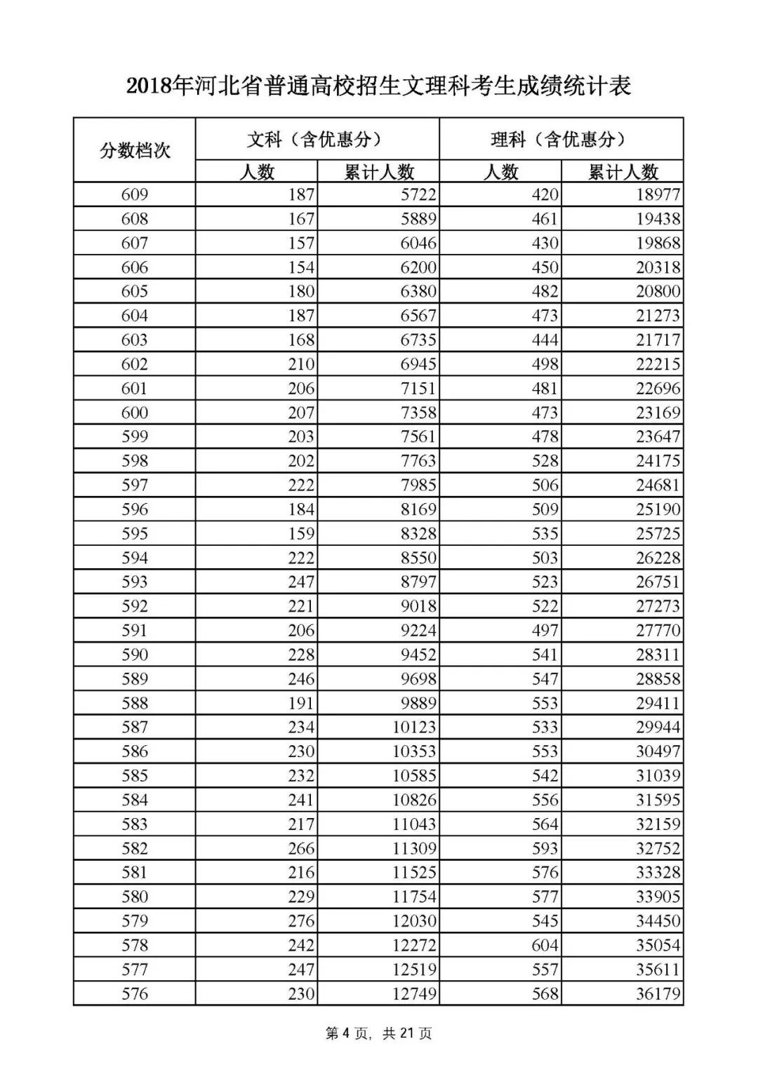
河北考生,2018河北高考一分一档表出炉!快收藏

23日0点,河北高考成绩可以查询了!相信考生现在都已经知道自己的分数了!全省考生们考的如何?一分一档表新鲜出炉!快来看看吧 !
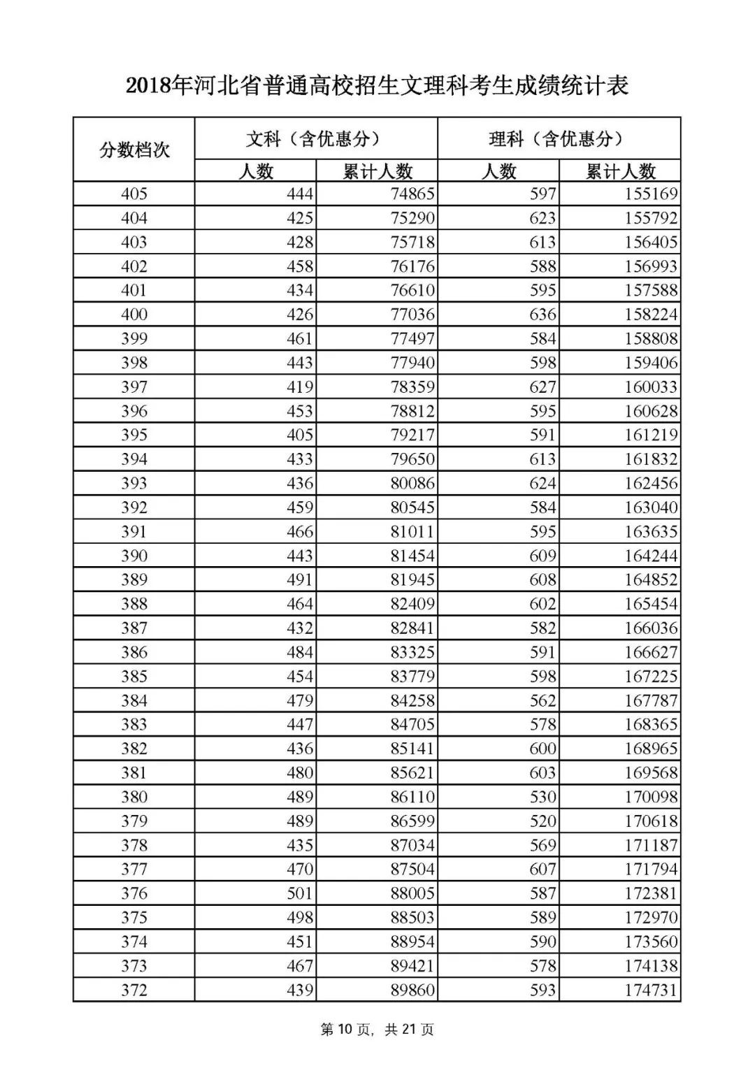
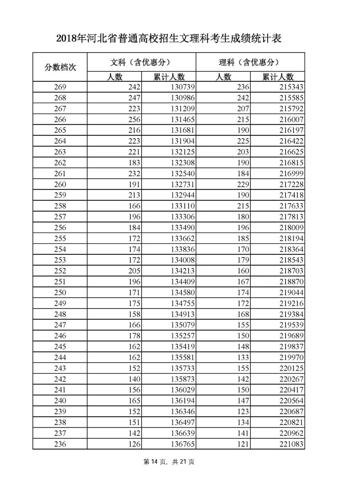
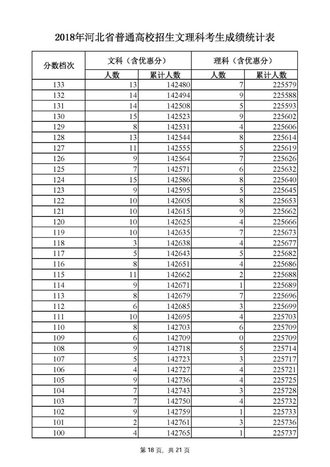
2018年河北普通高校招生文理科
一分一档表
(点击看大图更清楚哦)





















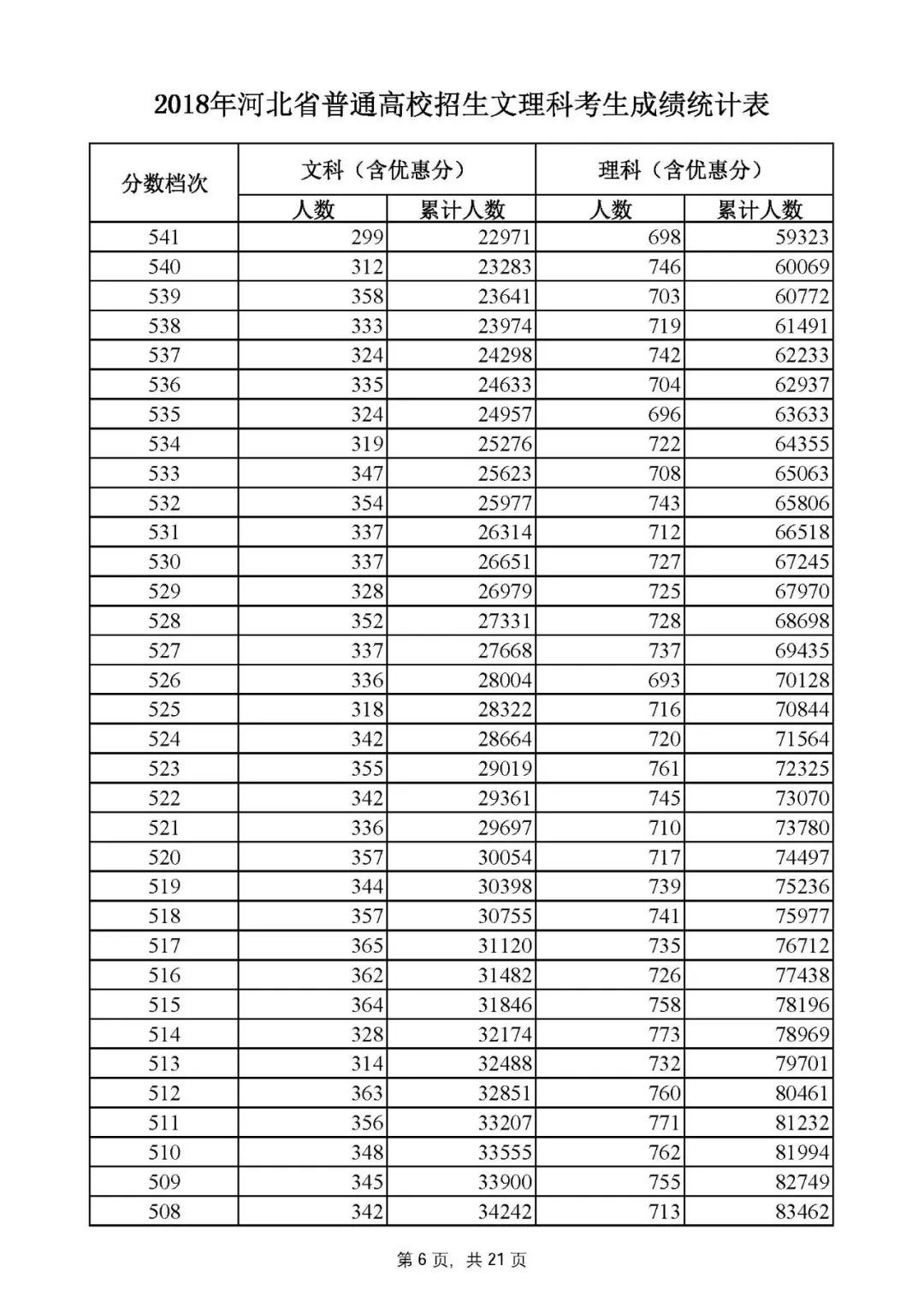
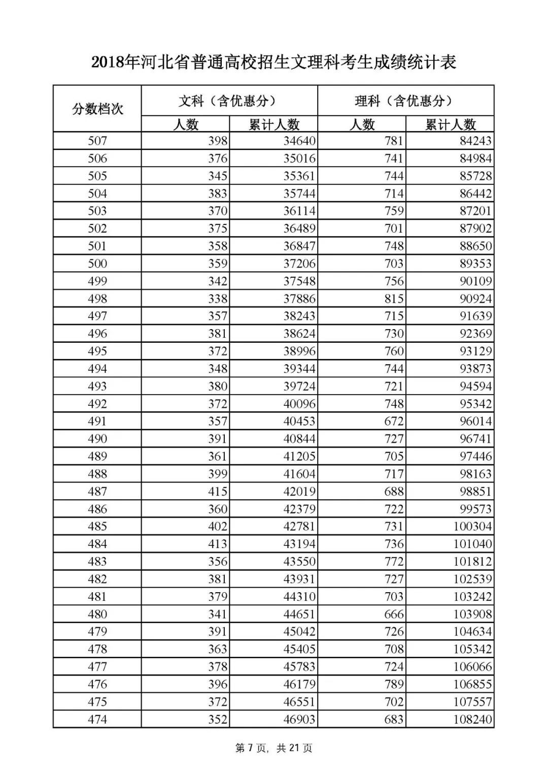
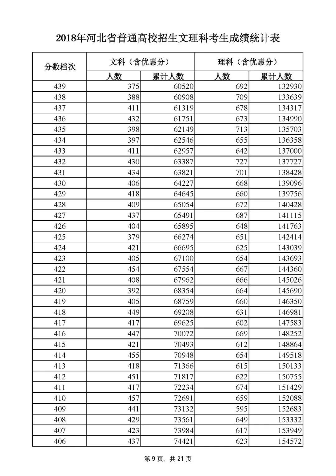
河北考生,2018河北高考一分一档表出炉!快收藏

23日0点,河北高考成绩可以查询了!相信考生现在都已经知道自己的分数了!全省考生们考的如何?一分一档表新鲜出炉!快来看看吧 !
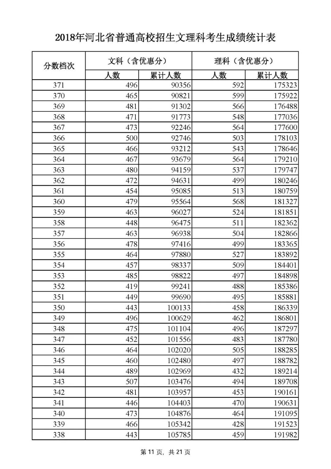
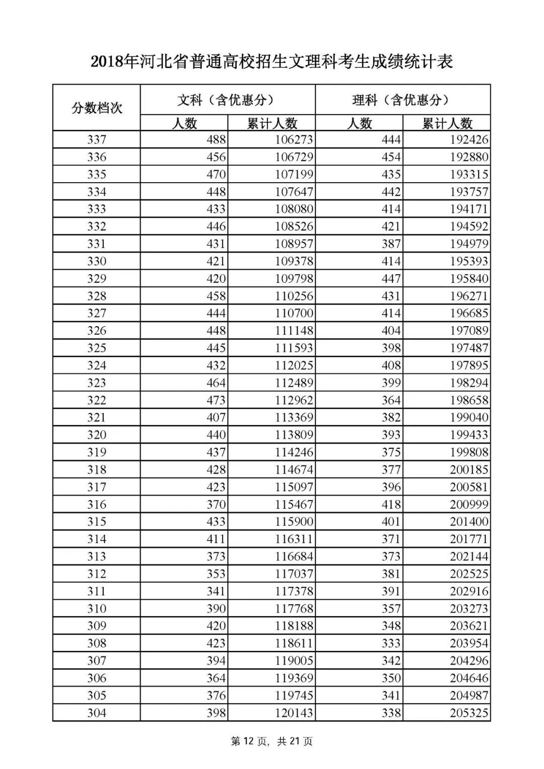
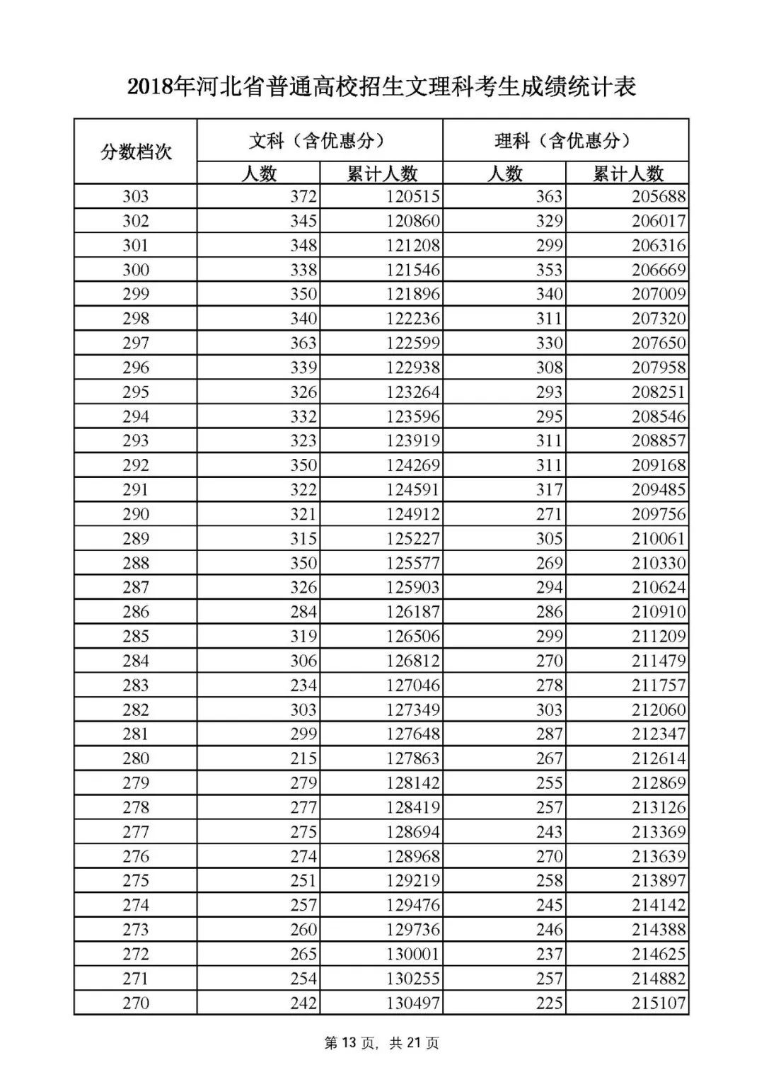
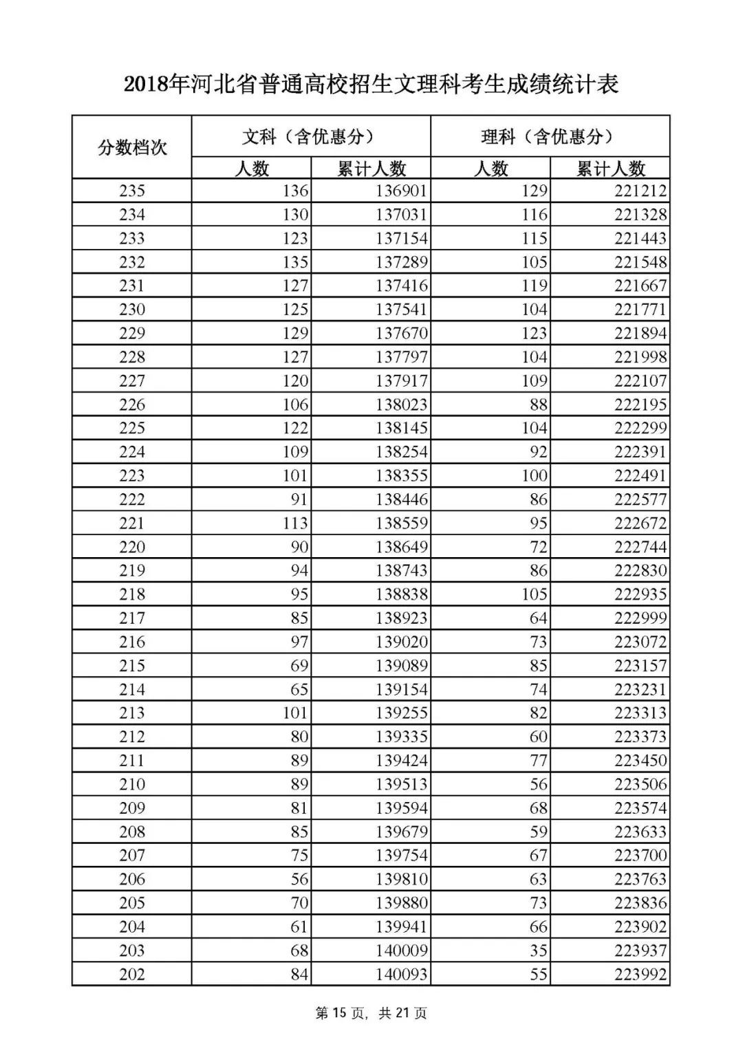
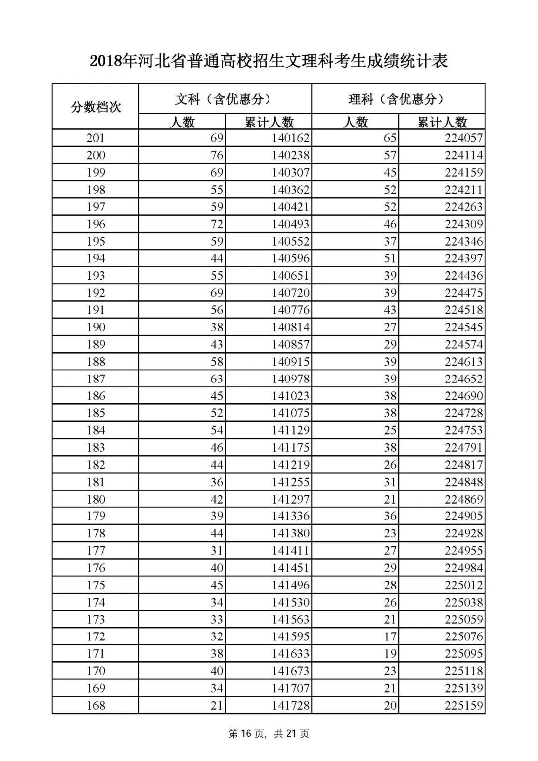
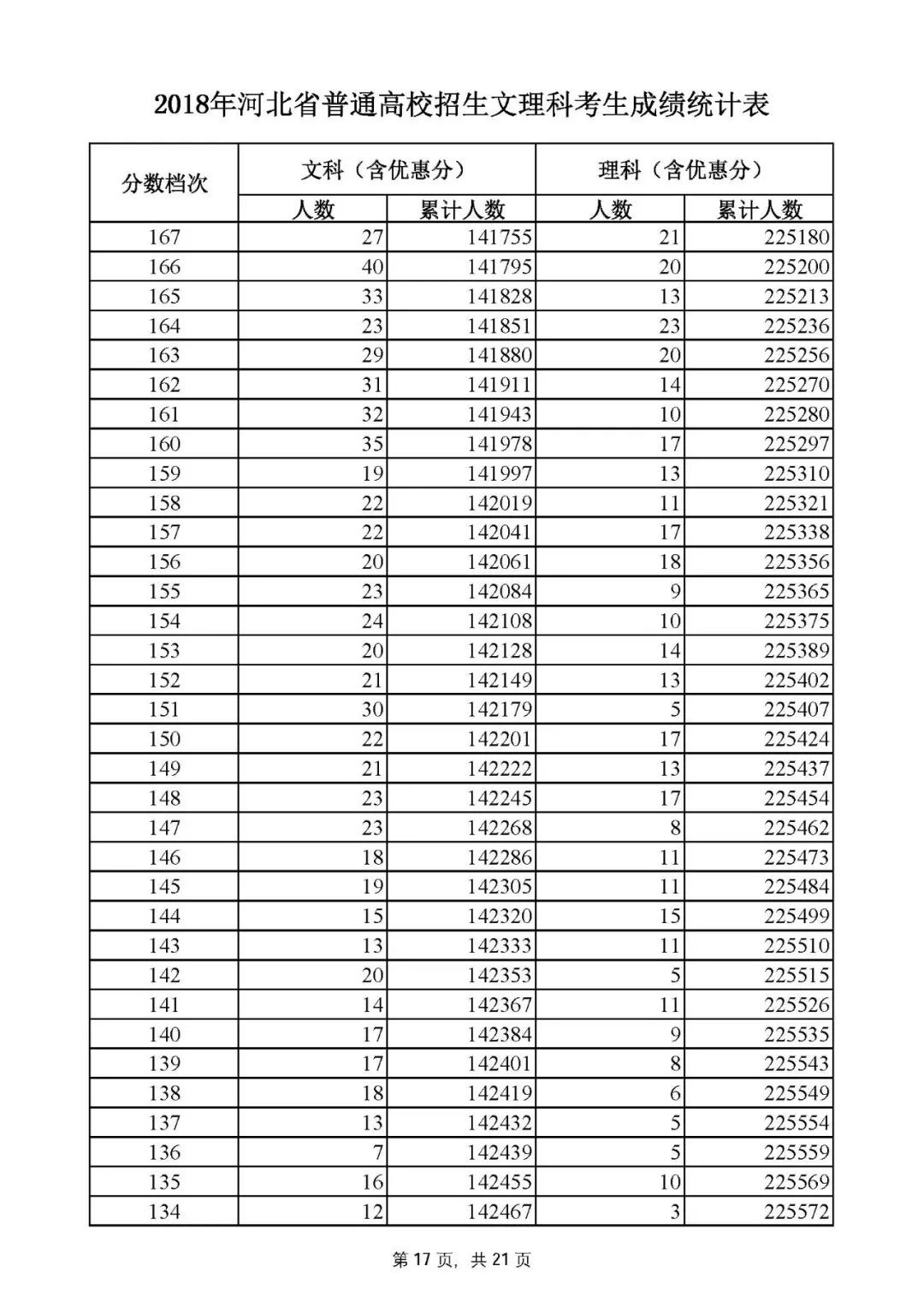
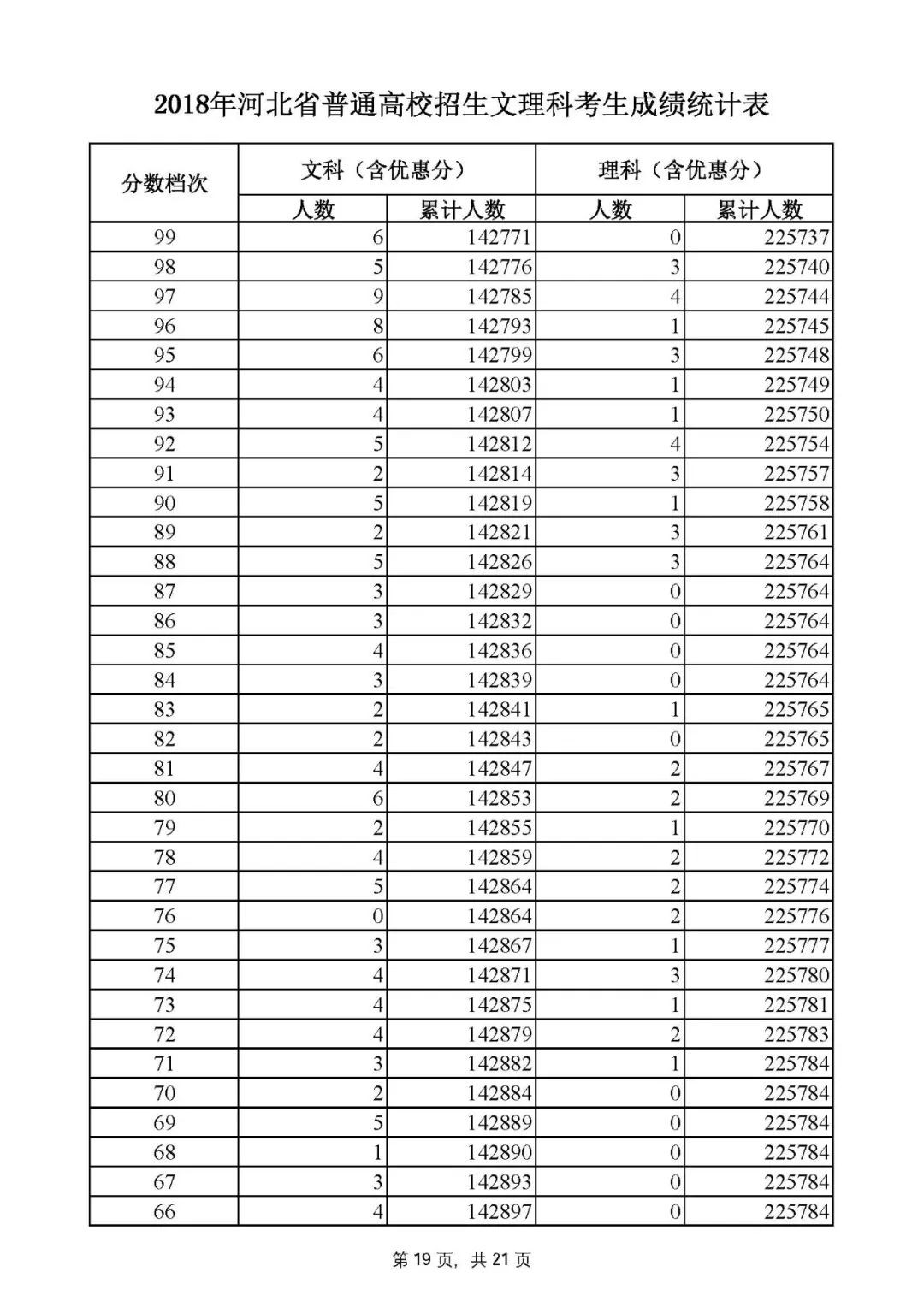
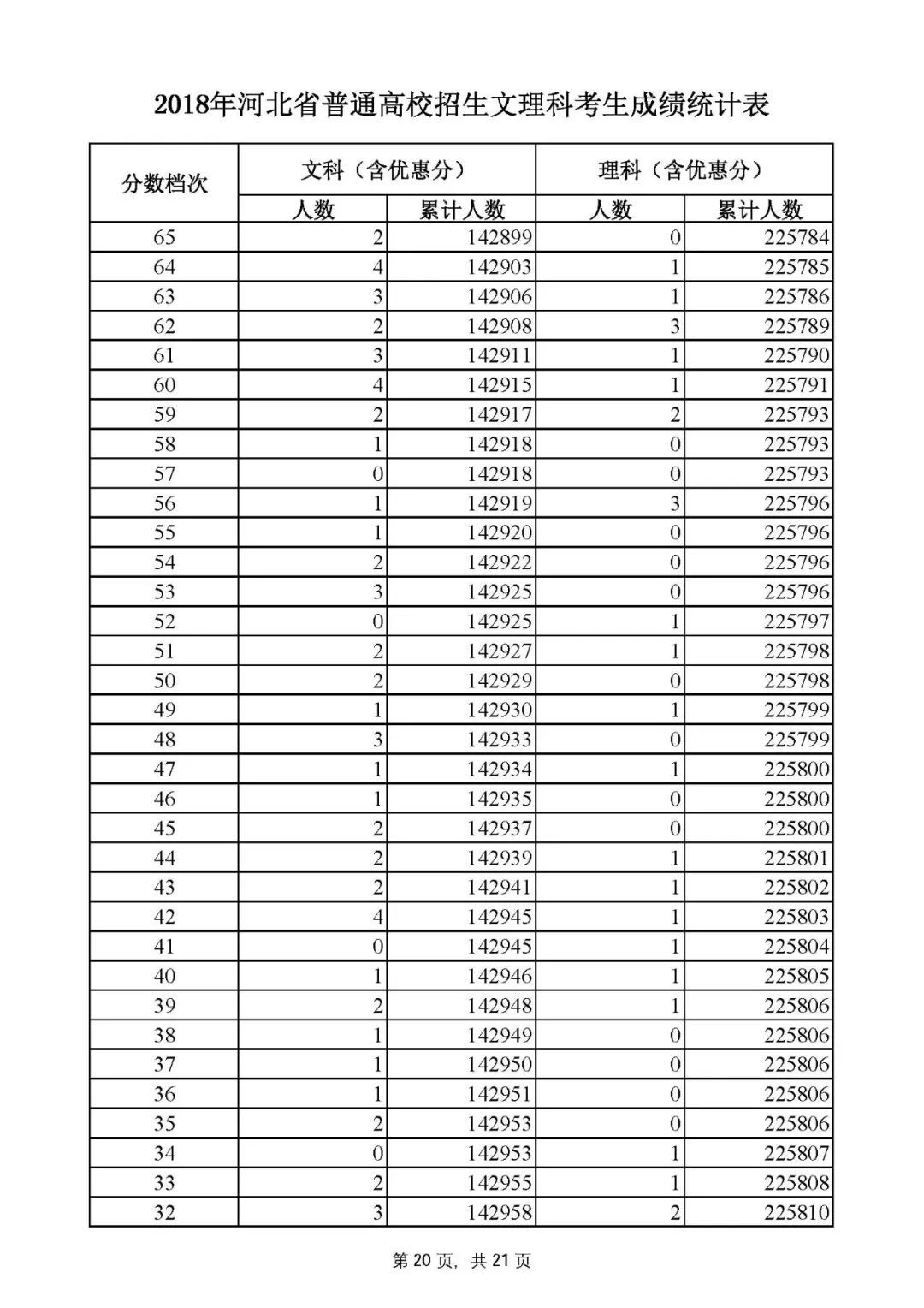
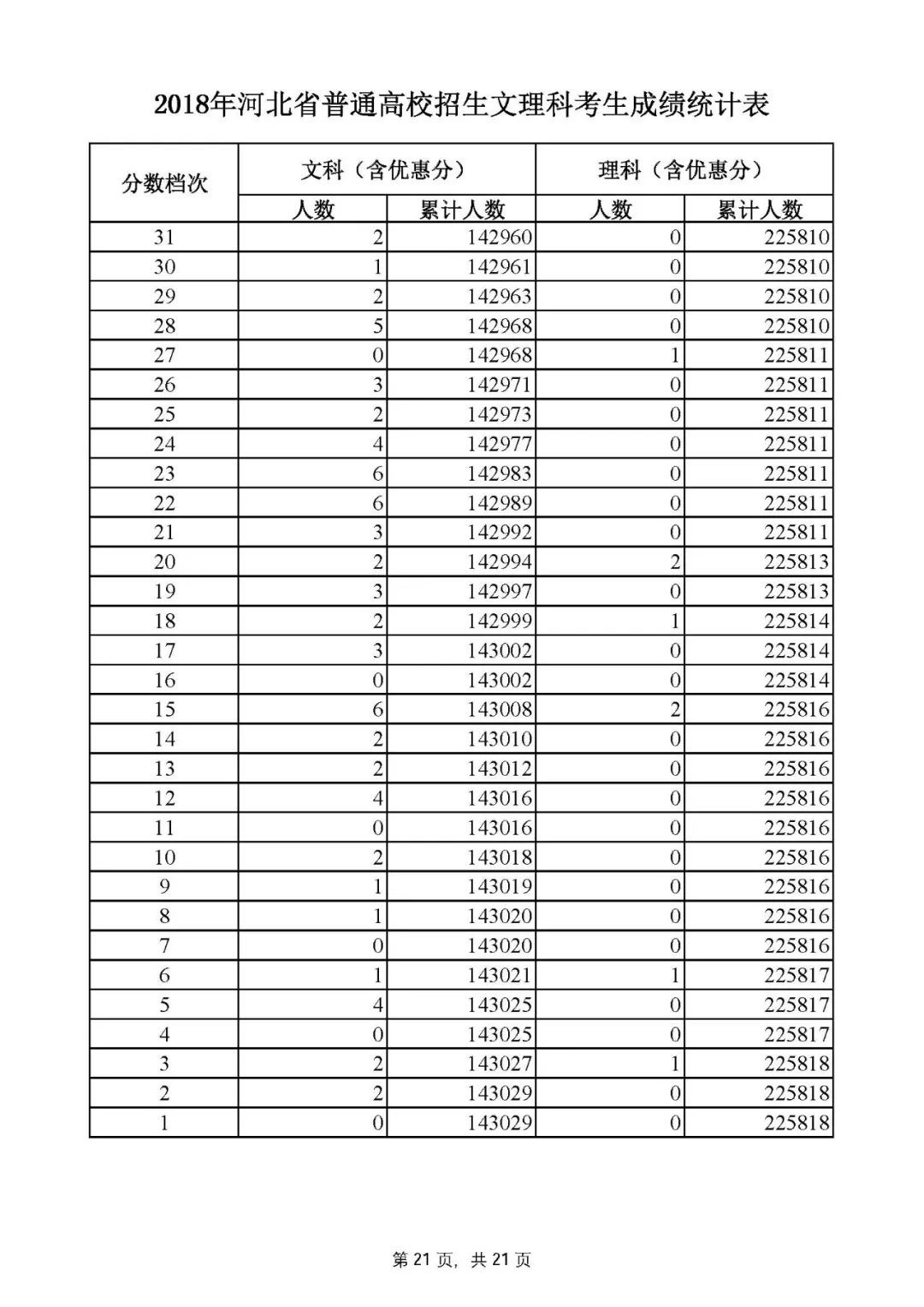
2018年河北普通高校招生文理科
一分一档表
(点击看大图更清楚哦)





















吃屎对身体有什么害处? 1、人类拉的粪便是不能吃的,粪便当中含有大量的微生物。由于粪便当中含有食物杂质和微生物,如果是吃了以后容易导致生病或者是引起身体的损害。如果...
草莓种植成本很高吗?为什么韩国会出现草莓较贵,出现盗窃的案件 近日,韩国草莓农场发生多起盗窃事件,给农民带来了巨大的经济损失。据报道,在全罗南道康津郡的一个草莓农场...
中国传统节日“春节的来历”。 春节,又称为农历新年,是中国及一些亚洲国家的传统节日,它标志着新的一年的开始。这个节日的来历和命名有以下几个方面的意义: 1. **历史演变...
贞德美图壁纸!超清无水印圣女贞德收藏图! 图片均来自图友收藏分享,如有侵权私信删除。...
为抗战而生的铁路之一 ---湘桂铁路 1931年“九一八事变”后,东北全部沦陷,作为中国重要工业基地的丢失,以及日本全面侵华的展开,特别是在东南沿海省份不断的被日军侵占,造成...
苏格兰高地牛一种古老品种 苏格兰高地牛是大型偶蹄类动物,全身披着金红色长毛,特别是头顶的长毛披下来。 它们是一种古老品种,身体健壮,能够消化其他很多牛回避的植物,长...
利仁牌电饼铛哪个型号好? 在我们的生活中,每天都会遇到各种各样的困难和挑战,有时候我们会感到无助和失落,但是只要我们有足够的正能量,我们就会勇敢地站起来,在挫折中寻...
金庸神雕侠侣里小龙女的玉女心经是门什么功夫?为何要宽衣解带? 玉女心经是古墓派最上乘的功夫,以柔克刚,以静制动。是由其祖师林朝英创来专门用来克制全真派的武功。玉女心...
曾经的快手一哥“石家庄磊哥”他回来了 5年前没毛病一句话点燃了全网,口头禅没毛病创始人,狗磊! 快手狗磊可以说是网黑界的第一人,玩一个快手让他走红了整个网络。俗话说的...
“小霸王”和“步步高”的创始人——股神段永平 段永平,1961年3月出生于江西省南昌市,本科毕业于浙江大学无线电系,后考入中国人民大学经济系研究生班,并于1988年顺利毕业。毕...
蒸米饭怎样做更好吃?很多人都直接下锅,多加这3样食材,比肉香 蒸米饭怎样做更好吃?很多人都直接下锅,多加这3样食材,比肉香。米饭看似很简单,却是餐桌的核心。吃一碗好米...
鹰眼也有超能力啦!可这是不是弱了点 鹰眼在初代复仇者六人组中存在感不算太高,而且和经过改造的美队及拥有战甲的钢铁侠等人相比,他的能力也有些弱。 虽然一些人认为鹰眼射...
笛子名曲《鹧鸪飞》 《鹧鸪飞》是江南笛曲的主要代表曲目之一,原是湖南民间乐曲,乐谱最早见于1926年严固凡编写的《中国雅乐集》。 该曲先后历经多位作曲家的改编,有歌曲,器...
“内地小赵雅芝”徐婷患癌去世,生前她曾多次资助患者 有着内地小赵雅芝美誉的90后女演员徐婷,今日因患淋巴癌在北京去世。她的妹妹徐丹丹在新浪微博确认了去世消息。据了解,...
中国神话人物――清虚道德真君 清虚道德真君:阐教玉虚宫十二金仙之一。道场在青峰山紫阳洞。坐骑云霞兽。 清虚道德真君 法宝:八棱亮银锤、混元幡、飞电枪、五火七禽扇、莫邪...
中国民主同盟 中国民主同盟 中国民主同盟,简称民盟,机关地址位于:北京市东城区北河沿大街与银闸胡同交汇处。 民盟是中国共产党领导的爱国统一战线的组成部分,中华人民共和...
正月到底该不该剃头? 近日,一则新闻登上网络热搜,“外甥正月初二剃头,舅舅当晚车祸身亡,舅妈控告外甥赔偿100万,被法院驳回!”新闻一出,引起广大网友的讨论,大家心里都...
有种意外叫“网红身高”,李佳琦183,韩美娟186,她再高也没用 有种意外叫“网红身高”,李佳琦183,韩美娟186,她再高也没用 说起李佳琦,相信大家对他也都不陌生了,他一直以来...
一日一城一徽章:基辅 榜单第439位,基辅。 基辅的徽章为蓝底、金边,上面是天使长米迦勒(东正教称为总天使弥哈伊尔),这也是基辅的守护圣人。 1969年,基辅推出了带有栗子叶和...
49岁女子咳嗽不止 医生竟从她肺里取出9岁时误吞的塑料笔帽 异物在身体里潜伏几十年,这事儿想想就可怕,没想到却还真的有人遇到了。 聊城高县人民医院近日接收到一例较为罕见的...