有机合成系列 | 缩合反应:羟醛缩合(Aldol condensation)
有机合成系列 | 缩合反应:羟醛缩合(Aldol condensation)

[概念]
含有a-氢原子的醛或酮在催化剂作用下,生成b-羟基醛、酮的反应,称为羟醛缩合,也叫醇醛缩合。该反应通常在碱催化下进行,有时也在酸催化下进行。
[反应通式]

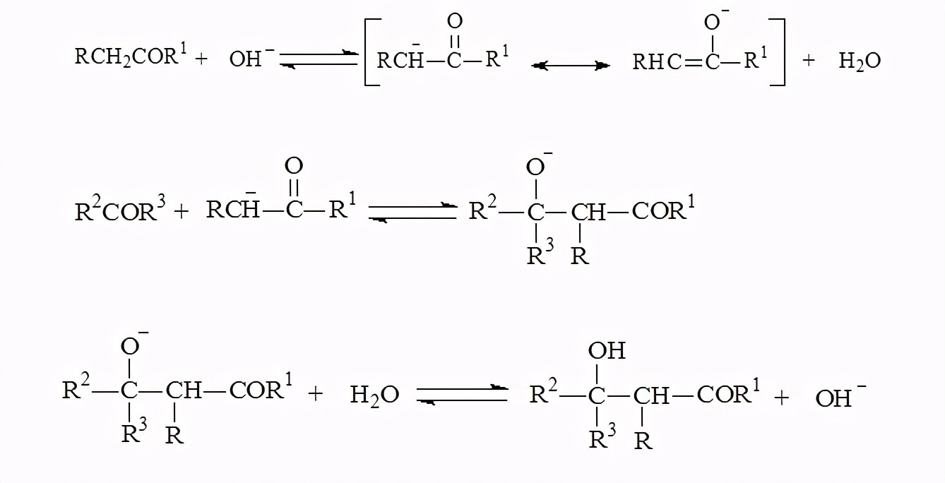
[反应机理]
碱催化反应机理:

酸催化反应机理:

缩合产物b-羟基醛、酮通常经酸催化脱水,或在加热下脱水,生成a、b-不饱和醛、酮。

[反应中应注意的问题]
羟醛缩合反应中醛与不含a-氢原子的醛进行缩合时,需要控制碱的强度,以免发生Cannizzaro反应。
羟醛缩合反应是可逆反应。
羟醛缩合反应广泛用于有机合成,它是增长碳链一种有效方法。二醛及二酮进行分子内羟醛缩合,可制取环状化合物,特别是五元环和六元环状化合物,此类反应可用于萜及甾族化合物的合成。
[反应实例]

标签:
115
一招清蒸,多鱼通用:清蒸刀鱼,鲜香美味 继上一次清蒸大黄鱼之后,这次再来一个清蒸刀鱼。 烧菜嘛,一招通用,其他菜都用能上啦 「清蒸刀鱼」,蒸鱼半小时搞定 【食材】 刀鱼...
190
万句扎心!成都竟然有座“失恋博物馆”,女孩哭到泪崩 【万句扎心!成都竟然有座“失恋博物馆” ,女孩哭到泪崩】近日,成都青羊区一商场出现了一座“失恋博物馆”,里面展出...
169
墙绘的意义 今天和大家聊一聊墙绘这个话题。墙绘,作为一种独特的艺术形式,融合了创意和艺术的基因,给人们带来了前所未有的视觉享受,也尽显个性与品味。无论是在城市的街头...
59
老米又出新的实体管制名单,怕了吗? 新年伊始,东大一系列先进武器的亮相,让老米压力山大,如坐针毡。为了寻求些许的心理慰藉,美国商务部工业与安全局近日公告,将11家中国...
158
象棋基础教程(启蒙篇) 象棋基础教程(启蒙篇) 一,象棋常识 1.象棋基本礼仪 F:一旦对局开始,注意不能随便说话 T:不可悔棋,落棋无悔真君子,要养成落子无悔的好习惯哦! S:对局结...
192
腾讯NBA女主播美娜撩球衣走光图 一站到底美娜男友是谁是秦奋吗 北京女孩美娜,今年24岁,现在是腾讯NBA的一名女主播,所以这位年轻的女孩对于NBA方面的知识是非常丰富的,来《一站...
112
神岭千峰之白虎涧——北京后花园 北京后花园景区也叫白虎涧景区,位于昌平阳坊镇境内。属于太行山余脉,总面积460万平方米,最高峰880米,景区山峰错落林立,山体绵延宏伟。 很...
200
如何用副业快速赚取100万元人民币 搞一门副业,怎么样才能快速赚取100万元呢? 下班了去兼职送外卖,跑滴滴,刷单等等,这都不能够够快速赚取100万元人民币,因为时间,每个人只...
159
行行摄摄(596)落马洲口岸 落马洲口岸位于香港元朗区东北面,邻近深圳河,是香港往中国内地车辆交通的重要口岸,也是香港到中国内地的唯一全日开放的陆路出入境口岸, 1989年建...
98
动车和高铁的区别你知道吗? 首先,我们来了解一下动车。动车,全称动车组列车,是一种列车,它的动力来源是电力。这种列车的特点是速度快,而且可以在没有火车头的情况下运行...
106
川崎ninja400价格也跳水了?仅需36800元即可带回家 大家都知道,川崎ninja400自从在18年上市定价在5万元左右之后,立刻成为了一代性价比神车。想购买不是等车一年就说加价提车,但是今...
92
30岁的男人头像 自信 阳刚就是你的模样 30岁左右的男人 有拼劲有耐力,男人一生中最辉煌的时刻,身体机能是最旺盛的时候,精神状态也非常好,给人呈现的感觉就是自信,阳刚,尽...
56
“山海之城”台州~将有九个高铁站 台州市是浙江省地级市,位于浙江的东南地区,是个“依山傍海”的海滨城市,台州市辖区景色秀丽,是全国有名的旅游城市,台州市经济总量在全...
110
自称是悟空的第三个儿子,他的力量促进了超五的诞生 龙珠GT完结之后,有出现了漫画龙珠AF。而这部漫画中最大的BOSS叫翟寇。 翟寇自称是悟空的第三个儿子,但是刚现的时候,实力就...
171
中国联通宣布焕新国际品牌UniCom,将加快品牌国际化进程 12月6日晚间消息,中国联通(5.200, 0.03, 0.58%)在中国香港宣布焕新国际品牌——UniCom。中国联通独立董事吴杰庄、副总经理唐永博...
159
正月十三上午11点半 京港澳返程广东整体顺畅 湖南郴州北互通有堵车 今天是正月十三,早上有朋友说今天路况如何。查了下具体情况,今天京港澳高速北往南湖南境内整体情况良好,...
105
小学生必会的“四季”简笔画《春天》画法(简笔画教程系列) #教育听我说# 简笔画《春天来了》 春天这个系列的简笔画,是小学语文课上经常会用到的,要求将语文与绘画相结合,...
146
柳州一幼儿园负责人7座车送28名孩子回家严重超载被查 [闽南网] 柳州一幼儿园负责人7座车送28名孩子回家严重超载被查 广西柳州市交警部门26日通报,一幼儿园负责人驾驶7座面包车搭...
64
老倪膏药虚假广告被罚80万 监管部门必须出重拳管理 郑莉薇 近年来,微商逐渐走入人们的视线中,商品琳琅满目,良莠不齐,其中不乏有虚假夸大之词。其中,前段时间因“掷800万豪...
85
分享一组海贼王妮可罗宾精美壁纸 图片素材来源网络,如侵权请联系删! 图片素材来源网络,如侵权请联系删! 图片素材来源网络,如侵权请联系删! 图片素材来源网络,如侵权请联...