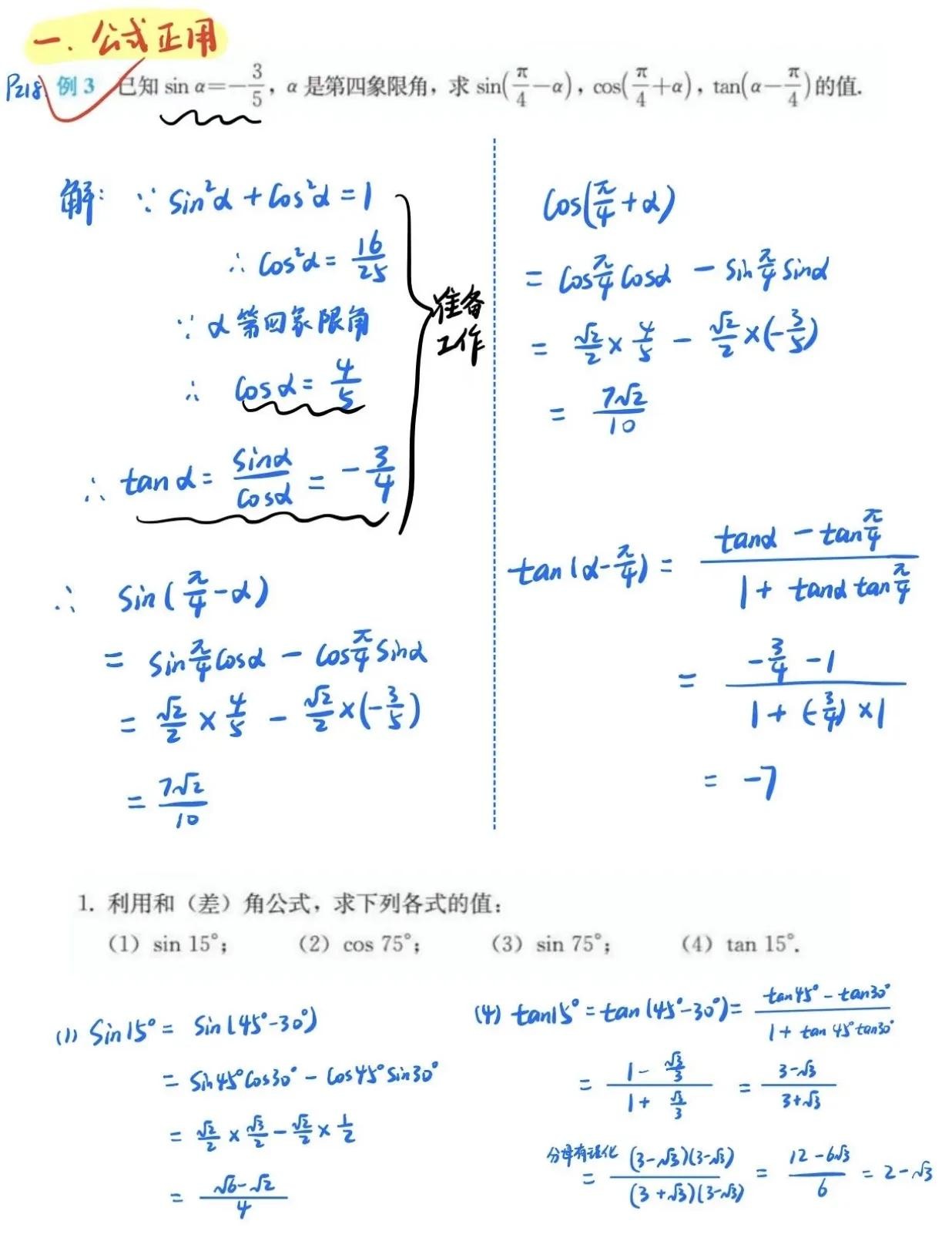
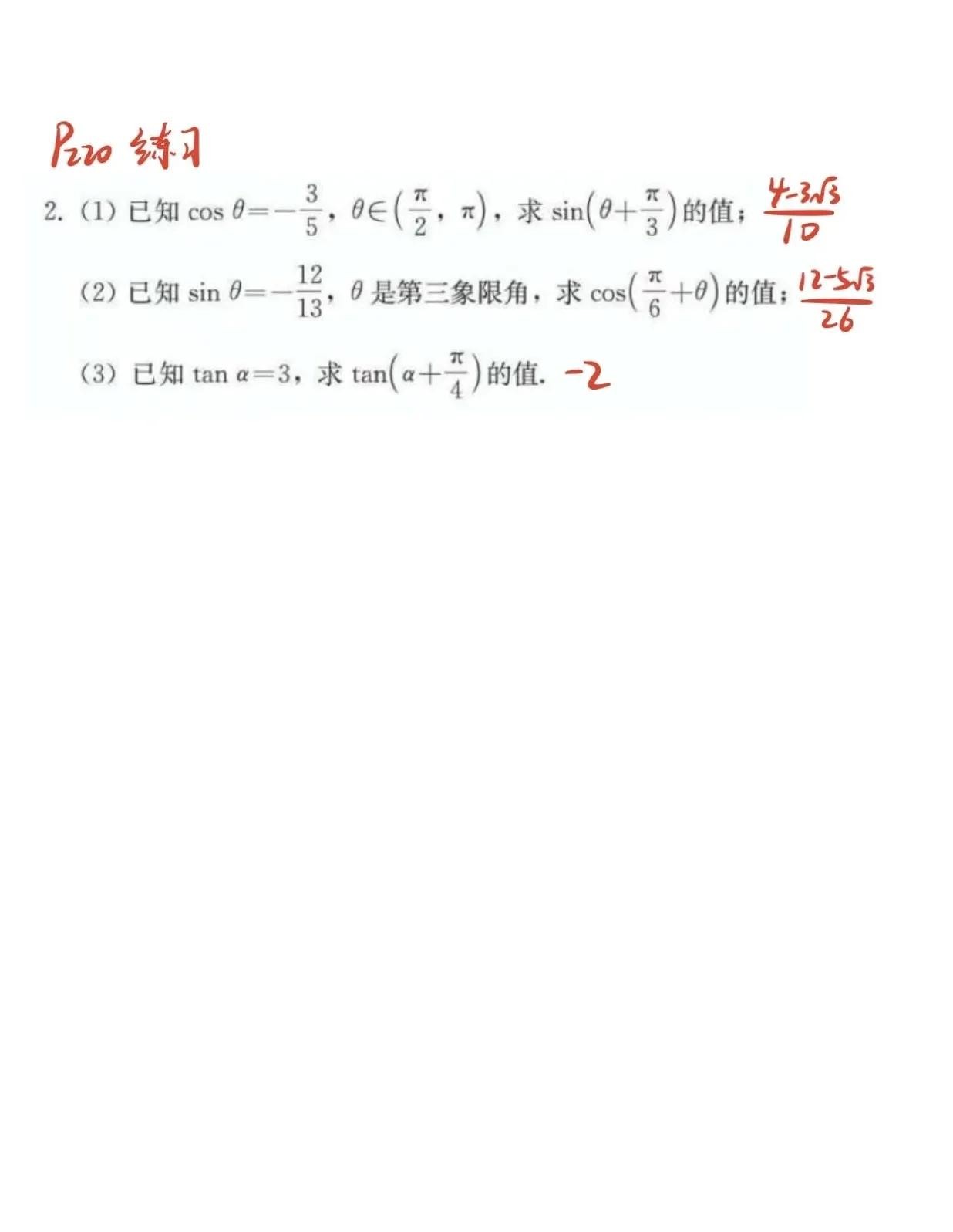
三角恒等变换公式汇总
#高中数学#













三角恒等变换公式汇总
#高中数学#













诺基亚将在新年推出17款新手机!破釜沉舟还是王者归来? 根据2024年2月9日的最新消息,诺基亚预计将在今年推出超过17款新机型。这些手机型号编号从TA-1603到TA-1628不等,表明诺基亚将...
华为光猫路由一体机 农村要装宽带的话,基本上家家都要用到光猫,然而运营商因为采用不同供应商和不同型号的光猫质量上又参差不齐,即使光猫能上网的但网速和覆盖范围也是很鸡...
冻豆腐怎么做好吃?冻豆腐之前多加这一步,口感劲道,非常简单 以前想吃冻豆腐,都要等到冬天,将豆腐放在露天冻上一天一夜。但有了冰箱之后,想吃冻豆腐,随时都可以做。 冻...
绝地求生全军出击排位赛专家模式怎么不能玩 官方发公告 [闽南网] 很多玩绝地求生全军出击的玩家今天发现排位赛专家模式不能玩了,是怎么回事了,要怎么解决呢,下面就赶快和小...
金石滩三面环海,是中国北方最理想的海滨旅游度假圣地 金石滩三面环海,由东部半岛、西部半岛及两个半岛之间的开阔腹地和海水浴场组成,是中国北方最理想的海滨旅游度假圣地。...
火影头像|「动漫」宇智波带土头像合集...
分享一组可爱又有趣的文字壁纸,请签收...
俄罗斯胜利日阅兵式上的红旗 5月9号,在莫斯科红场举行了纪念卫国战争既反法西斯战争胜利77周年阅兵式。 其中两面旗帜尤为突出,一面旗帜是白蓝红三色旗即俄罗斯国旗,另外一面...
潮流壁纸|火影系列 大家超爱的宇智波斑~ 横屏壁纸了解一下...
超霸气钟馗捉鬼纹身刺青 钟馗纹身 钟馗,是中国古代诸神中形象最为丑恶的一位。但大家并未因此而嫌弃他。钟馗生得丑恶怕人,但才华出众,秉性耿直忠诚。每到年节喜庆日子,大...
北京有个地方叫公主坟,那到底有没有公主呢 北京有个地方叫公主坟,那到底有没有公主呢。 又是谁的坟墓呢,时间来到了1965年,北京修地铁的时候,公主坟的墓穴被发现,当时还有...
巴尔扎克的《人间喜剧》 巴尔扎克是法国伟大的批判现实主义作家,以多产著称于世。1799年巴尔扎克出生于一个中产阶级家庭,父母竭力要他成为律师,而巴尔扎克则毅然走上了文学...
Redmi首款5G手机 Redmi K30系列定于12月10号发布 11月26日,卢伟冰发布微博表示,Redmi K30系列定于12月10号发布。在微博中他提到,“Redmi K30系列是Redmi首款5G手机,支持SA/NSA双模。2020年,R...
黄城,拟任新职 8月21日,江西景德镇市委组织部发布任前公示。其中: 黄城, 男,1989年5月出生,中共党员,研究生学历,现任共青团景德镇市委副书记(主持工作),拟任市直单位...
还记得《西游记》里的“蟒蛇精”吗?难怪能成经典 谈起比较经典的影视作品大家又会想到什么呢?提到《西游记》想必都能瞬间回忆起其中的内容和剧情,要知道当时为了拍摄此剧所...
穿搭美图|街拍黑色短裤搭配露肩衫的时尚气质姐妹花...
《董美人墓志》隋志小楷中第一,开唐代锺绍京一路小楷之先河 《董美人墓志》亦称《美人董氏墓志铭》原石于清代嘉、道年间出土陕西西安市,为上海陆君庆官陕西兴平时所得,旋归...
最真2020河南高考状元(附往年高考状元图) 这两天随着高考成绩的公布,看到网上关于河南高考状元有好几个版本,都是超强的孩子,但是有些网友却有点迷惑了,究竟哪个版本才是...
珠光集团 珠光集团成立于1996年,是一家以房地产开发、城市更新为主营业务的大型集团化公司。 秉承“珠光成就御生活”理念,珠光锐意进取、开拓创新,坚持专业化与多元化并行的...
中考数学——几何最值模型之阿氏圆归纳...