稳压二极管的参数和型号(你真的懂稳压二极管吗)
一、什么是稳压二极管
稳压二极管是硅材料的面接触型二极管,简称稳压二极管。
二、稳压二极管有什么用?
它在反向导通时,在一定的电流范围内,端电压几乎不变,表现出稳压特性,因此常用于稳压电路、限幅电路。
三、稳压二极管的特性曲线
我们以1N4736A为例,测试它的特性曲线。
1、测试电路

图1:测试电路
2、正向特性曲线

图2:1N4736A正向特性曲线
可以看出,它与普通硅整流二极管的正向特性基本一致,在0.5V~0.6V时导通。
3、反向特性曲线

图3:1N4736A的反向特性曲线
从图总可以看出,在反向6.8V电压时反向击穿,并保持在6.8V附近,起到了稳定电压的作用,但是随着电流的增大,电压会有一定程度的增加,因此稳压二极管的稳压精度并不高。
四、稳压二极管重要参数
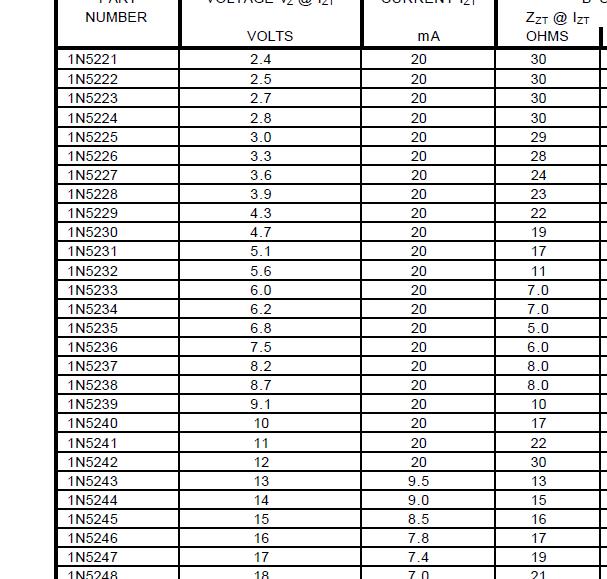
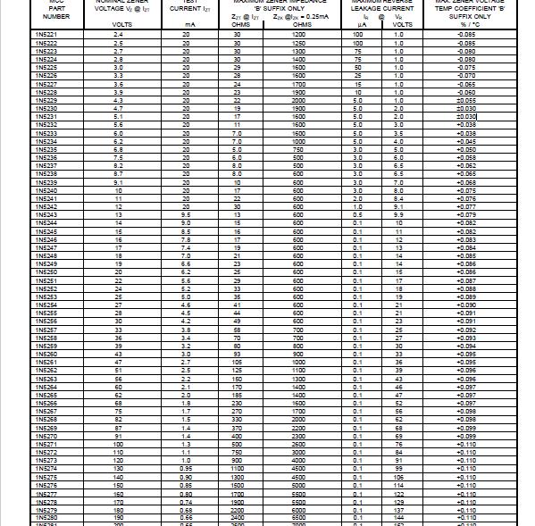
1、稳压值Vz
值稳压二极管设计的稳定电压值,通常是在一定电流Iz的情况下给出的,比如1N4736A稳定值Vz为6.8V,此时的电流Iz为37mA。也就是他的推荐工作条件。
2、稳定电流Iz
稳定电压Vz与电流Iz的关系见图4

图4:稳压值与稳压电流的关系
从图中可以看出,当电流比较小时,稳压二极管不能击穿,不能稳压。当电流远小于Iz时,电压值也小于Vz,当电流在Iz附近时,稳压值Vz接近6.8V,随着电流的增大,稳压值略有上升。
3、动态电阻Rz
R z= ΔVz/ ΔIz
1W系列的动态电阻见图5,0.5W系列的动态电阻见图6。

图5:1W系列动态电阻参数与分布特征

图6:0.5W系列动态电阻的特征:
动态电阻的特征:
(1)、同一个稳压二极管,随着电流的增大,Rz变小
(2)、通过参数表可以看出,不同型号的稳压管分布有如下规律:
1W系列的稳压管中1N4735的动态电阻最小,值为2欧姆,紧挨着它的型号动态电阻都比较小,越远离它动态阻值越高,稳压效果越差。
0.5W系列的稳压管中1N5235的动态电阻最小,值为5欧姆,紧挨着它的型号动态电阻都比较小,越远离它动态阻值越高,稳压效果越差。
4、温度系数
温度变化一度,稳压值的变化量就是温度系数,公式如下:
α=ΔVz/ ΔT

图7:稳压二极管的温度系数及其分布特征
图7中可以看出温度系数的特征:
2.4V~3.9V为负温度系数,温度升高稳压值下降,绝对值较大
4.3V~5.1V为正负温度系数,温度系数可能是负,但是绝对值很小。
5.6V~200V为正温度系数,温度升高稳压值变大,绝对值较大。
可以看出,1N5230 、1N5231有最小的温度系数,综合动态电阻特性,可以得出一个结论,0.5W的1N52XXX系列,4.7V-6.8V的稳压管具有最好的稳压特性和温度特性。
五、稳压二极管电路设计实例
图8为线性电源原理图,输出电压为12,稳压二极管作为基准使用,计算如下,根据前面的结论,我们选择用1N5235,因为他的动态电阻最小,稳压效果最好,同时温度系数也比较小。

图8:线性电源中稳压二极管作为基准
查参数表可知,稳压值为6.8V,稳压电流为20mA,因此限流电阻值
R2=(12V-6.8V)/0.02A=260Ω
我们取标准之后261Ω。
最大准许电流 Imax=0.5/6.8=73mA,实际上因为环境温度的关系,我们只能使用到最电流的60%左右,约是44mA。
本文属原创首发,请勿用于商务用途!
,